Проблемы оценки политического риска
Подколзина И.А.
Отрывки из статьи "Проблемы дефиниции и оценки политического риска в зарубежных исследованиях".
Одним из важнейших условий укрепления позиций России на международной арене и ее интеграции в мировое хозяйство является нормализация политической обстановки, которая в настоящее время характеризуется крайне высокой степенью нестабильности. Для зарубежных политиков и бизнесменов Россия представляется довольно интересным и перспективным, но весьма рискованным партнером.
В современных условиях оценка риска является теоретической базой для принятия решений в политике и экономике. Для преодоления неопределенности, с которой сталкиваются инвесторы в зарубежной стране, проводится анализ странового риска (country risk), определяющего "вероятность того, что суверенное государство или независимые кредиторы в определенной стране не будут иметь возможности или желания выполнить свои обязательства по отношению к иностранным кредиторам и/или инвесторам."
В рамках общего странового риска различают некоммерческий, или политический, и коммерческий риски. Последний делится в зависимости от уровня своего влияния: 1) на уровне государства - риск неплатежеспособности /sovereign risk/, "ассоциирующийся с предоставлением займов иностранным правительствам", 2) на уровне компаний - трансфертный риск /transfer risk/ - "риск того, что при проведении экономической политики отдельная страна может наложить ограничения на перевод капитала, дивидендов и процентов иностранным кредиторам и инвесторам."

График 1
Значение термина "политический риск" достаточно широко - от прогнозирования политической стабильности до оценки всех некоммерческих рисков, связанных с деятельностью в различных социально-политических средах. Под политическим риском в узком смысле слова понимается вероятность финансовых потерь для фирмы в результате воздействия неблагоприятных политических факторов в стране размещения инвестиций.
Подверженность политическим рискам
| Действия легитимных структур | События, вызванные действиями неконтролируемых правительством сил | |
| Непредвиденные обстоятельства | ||
| Потеря контроля за деятельностью фирмы | - полная или частичная экспроприация - насильственное лишение прав управления - конфискация собственности фирмы - разрыв договора | - война - революция - терроризм - забастовки |
| Падение ожидаемой прибыли | - неприменимость "национального режима" - уменьшение доступа к финансовым, трудовым и сырьевым рынкам - контроль над ценами, товарами, деятельностью - валютные ограничения - ограничения денежных переводов за границу - требования к экспортным характеристикам | -националистически настроенные продавцы и поставщики -угрозы враждебных группировок - навязанные извне финансовые ограничения - навязанные извне ограничения на импорт и экспорт |
Источник: J. de la Torre, D. H. Neckar, Forecasting political risks for international operations, p.223.
Задача прикладных исследований риска состоит в том, чтобы снизить остроту неопределенности, предусмотреть возможные негативные и позитивные последствия ее развития. Современные методы позволяют количественно и качественно оценить вероятность достижения цели, отклонения от цели или неудачи.
Цель мониторинга политического риска достаточно ясна: защитить зарубежные инвестиции компаний путем прогнозирования возможных рисков, возникающих в политической среде. При проведении анализа политический риск выводится из стабильности и направленности политики правительства данной страны.
До конца 70-х большинство международных фирм ограничивали свой анализ политического климата в стране качественными оценками, проведенными с использованием методов 'old hands' ("старых знакомств") и 'grand tours' ("больших туров"). Анализ проводился не регулярно, а лишь в тех случаях, когда решался вопрос о новых инвестициях. Если политический риск представлялся слишком высоким, инвестиции либо не размещались (принцип 'go/no go'), либо к стоимости проекта добавлялась "премия за риск" для учета высокой вероятности потерь. До тех пор, пока не происходило крупной катастрофы, политический рейтинг страны не переоценивался.
Оценки политического риска по методу 'old hands' представляют собой традиционные отчеты, составленные специалистами, обладающими знаниями о соответствующей стране и поддерживающими контакты с влиятельными и хорошо информированными лицами в этой стране (учеными, дипломатами, журналистами, бизнесменами). Главным недостатком этого метода является то, что компании в большой степени приходится полагаться на суждения аутсайдеров.
Метод 'grand tour' предполагает посещение группой экспертов исследуемой страны и налаживание там контактов с местными лидерами, правительственными чиновниками и бизнесменами. Отрицательной чертой этого метода является возможное приукрашивание собираемой информации и излишне оптимистичный прогноз.
Наиболее систематичным качественным методом является метод Delphi (Дельфи), по которому на первом этапе аналитики компании разрабатывают систему переменных для конкретного случая, а затем привлекают широкий круг экспертов, которые определяют вес каждой переменной для рассматриваемой страны.
Качественный подход позволяет оценить специфику каждой конкретной ситуации. В некоторых случаях внимательное исследование различных специфических элементов, определяющих ситуацию, может быть более важным, чем проведение систематической количественной оценки. Большим недостатком этого метода является чрезмерная субъективность оценок. Старые стереотипы иностранного общества могут сыграть роковую роль при принятии решений. Дж.Саймон оценил этот подход как "спорадический, основанный на селективном, неконтролируемом восприятии или идеологических и личностных пристрастиях".
Р.Руммель и Д.Хинен обосновали необходимость комбинированного подхода, который позволил бы соединить субъективное восприятие иностранной Среды с количественным анализом объективных данных для формирования общего восприятия (GESTALT) странового риска. В настоящее время комбинированный подход к оценке странового риска использует большинство фирм.
Формализация и моделирование макро-политических и экономических рисков начали широко развиваться в середине 70-х. Рост задолженности развивающихся стран вызвал повышенный интерес к так называемым рискам неплатежеспособности. Специфическая природа этих рисков привела к необходимости систематического анализа макроэкономических данных, хотя при этом признавалась необходимость вовлечения некоторых субъективных элементов.
Количественный подход к оценке странового риска позволяет сравнивать различные страны по степени риска, используя единый числовой фактор риска, который суммирует относительное влияние определенного количества социально-политических факторов посредством различных политических и социальных индикаторов. Главным недостатком количественных методов является использование узкого определения политического риска и концентрация на ограниченном количестве подвидов риска, таких как политическая нестабильность, валютный контроль и экспроприация. Полный список возможных рисков, с разной степенью потенциального влияния на иностранные инвестиции, гораздо шире и включает несколько сотен политических, экономических и социально-культурных факторов. Выбор факторов и определение их относительного веса остается основной проблемой количественного метода.
Другая проблема заключается в том, что попытка приспособить количественную шкалу рисков для международных сравнений наталкивается на отраслевую/проектную ориентированность большинства страновых рисков. Напр., добывающие отрасли гораздо больше подвержены экспроприации, чем высокотехнологичные производственные отрасли. Более того, то, что рассматривается как фактор риска для большинства отраслей (напр., политическая нестабильность), вполне может быть фактором дополнительных возможностей для некоторых других отраслей (напр., военно-промышленного комплекса). Поскольку различные страны обладают различным относительным уровнем риска для разных инвесторов, постольку сфера применения количественной шкалы странового риска сужается.
Для раннего обнаружения благоприятных или неблагоприятных тенденций в стране применяется метод агрегированных статистических данных. На этой основе в 70-е годы были разработаны две модели (PSSI; Ecological Approach), основанные на точных причинных взаимосвязях и опирающиеся в первую очередь на эконометрические и другие объективные данные. Модель Political System Stability Index была впервые описанная Д.Генделем, Г.Вестом и Р.Мидоу. Измеряя напрямую серию дискретных компонентов политической и социальной Среды (таких как количество мятежей, этнолингвистическая фрагментация, эффективность законодательства и др.), модель претендует на независимость от умозрительных заключений и искажений. С этой целью в модель вводились дополнительные конфиденциальные оценки по индексам, рассчитываемым по каждому компоненту.
Вторая модель, так называемый "экологический" подход Кнудсена (Knudsen's Ecological Approach), основывается на предположении, впервые высказанном Т.Гурром, о том, что высокая степень национальной фрустрации будет существовать там, где существует разрыв между ожиданиями людей и их благосостоянием (динамические концепции). Взаимодействуя с видимым иностранным сектором, эта фрустрация может привести к интервенции или экспроприации, причем иностранные фирмы послужат "козлом отпущения" в неспособности существующего политического порядка удовлетворить экономические и политические чаяния народа.
Следующую группу составляют экспертные оценки, являющиеся обычно конечным продуктом многоступенчатого консультационного процесса, который может вовлекать или не вовлекать метод Дельфи. Некоторые из этих отчетов используют эконометрические данные, но их основной характеристикой является прогрессивное ранжирование достаточно большого количества стран в соответствии с более или менее ясной логикой анализа. Первой фирмой такого рода стала служба BERI (Business Environment Risk Index). Составление рейтинга стран по уровню риска включает в себя несколько этапов: выбор переменных (политическая стабильность, степень экономического роста, степень инфляции, уровень национализации и др.), определение веса каждой переменной (максимальный вес имеет переменная политической стабильности), обработка показателей по методу Delphi с использованием экспертной шкалы, выведение суммарного индекса, теоретически располагающегося в пределах от 0 до 100 (минимальный индекс означает максимальный риск, и наоборот). Как правило, индексы стран не достигают крайних значений.
Сравнительные рейтинговые системы, использующие схожие методологии, разрабатываются консалтинговыми фирмами Frost & Sullivan (the World Political Risk Forecast), Business International and Data Resources Inc. (Policon). Большинство из них доступны в режиме on-line и, как в случае с Policon, пользователи могут исключать вес различных переменных, либо включать свою собственную оценочную информацию. Большим шагом вперед стало создание банков политических данных (World Handbook of Political and Social Indicators).
Последней вышла на поле "экспертного" рейтинга Futures Group; ее отчеты Political Stability Prospects сочетают данные наблюдений в формальных моделях с экспертными оценками для создания индексов стабильности по вероятностному распределению.
Следует упомянуть две финансово ориентированные рейтинговые системы: Institutional Investor's Country Credit Rating и Euromoney's Country Risk Index, охватывающие 109 и 116 стран соответственно. В модели Euromoney рейтинг странового риска составляется путем комбинирования набора индикаторов типа Лондонской ставки предложений по межбанковским кредитам (LIBOR), первичного ценообразования, межбанковских кредитов и т.д. Для характеристики общих экономических и политических тенденций, таких как степень национального контроля над ключевыми секторами экономики, политическая нестабильность, международный статус страны, изменения в торговом балансе правительства и фирм применяются целые группы переменных. Количественные параметры используемых индикаторов обычно комбинируются с мнениями экспертов и формируют сложную динамическую модель, позволяющую прогнозировать развитие национальной и международной экономики. Преимущество индикаторов в их объективности и (в большинстве случаев) измеряемости, что позволяет быстро создавать точные отчеты о событиях. Однако крупной проблемой остается теоретическая обоснованность индикаторов. Другой проблемой является статичность рейтингов по определению: они рассматривают прошедшие события и условия, которые могут не иметь никакой связи с будущим.
Экспертные модели оценки риска
| Модель | Тип риска | Количество стран, участвующих в рейтинге | Периодичность составления рейтинга |
| Business Environment Risk Index (BERI) | страновый | 48 | ежеквартально |
| BERI Political Risk Index (PRI) | политический | - | - |
| BERI Foreland | финансовый | - | - |
| World Political Risk Forecast (WPRF) | политический и экономический | 80 | ежемесячно |
| International Country Risk Guide (ICRG) | политический, финансовый, экономический | более 100 | ежемесячно |
| Institutional Investor's Country Credit Rating | финансовый | 109 | - |
| POLICON | политический | - | - |
| Control Risks | страновый | 70 | еженедельно |
| Oxford Analytical Data | страновый | 50 | ежедневно |
| Euromoney's Country Risk Index | финансовый | 116 | - |
Составлено по: D.Frey and D.Ruloff, The methodology of political risk assessment: An overview, World Futures, N.Y., 1988, Vol.25, /2, pp.6-7;
J. de la Torre, D.Neckar, Forecasting political risks for international operations, International Journal of Forecasting, Amsterdam, 1988, Vol.4, , p.228.
Наиболее серьезной критике экспертные системы подвергаются за скрытую взаимосвязь между социально-экономическими факторами и политическим риском, что затрудняет применение рейтингов для решения специфических задач.
Наряду с экспертными оценками для исследования внутриполитической нестабильности как ключевого фактора политического риска применяется эконометрическое моделирование. В основе эконометрической модели, разработанной профессорами Сиракузского университета Вильямом Коплином и Майклом О'Лири и получившей наибольшую известность, лежат уравнения множественной регрессии. В модели Коплина-О'Лири политическая нестабильность рассматривается как такое явление политической жизни определенной страны, которое характеризуется широким применением насилия против правительства в виде заговоров, государственных переворотов, гражданских войн, межнациональных конфликтов и т.п. При этом различается нестабильность в правящей верхушке, связанная с борьбой за власть внутри правящего слоя, и социальная нестабильность, возникающая в результате активной деятельности оппозиционных социально-политических сил.
На уровне корпораций заключения об уровне риска в стране часто являются ни чем иным, как "количественным описанием политической Среды, включенным в инвестиционное предложение".
Примером экстенсивной встроенной модели является ESP (Economic, Social and Political system), разработанная фирмой Dow Chemical для своих операций в Латинской Америке. Метод предполагает предварительный сбор информации по определенной стране, посещение этой страны группой экспертов, верификацию информации посредством интервью с сотрудниками отделения фирмы и местными лидерами, окончательный анализ информации группой экспертов, составление сценариев возможного развития событий. Преимущество этого подхода в том, что он специально разработан конкретных потребностей компании и привлекает к анализу как рядовых членов компании, так и высший руководящий состав, тем самым гарантируя, что отношение к результатам оценки будет достаточно серьезным. Однако этот метод достаточно дорог и требует большого количества времени.
Другим методом анализа и оценки политического риска является создание рейтинга стран по уровню риска на основе структурированного и стандартизированного списка вопросов.
Наиболее сложный, но эффективный подход, разработанный Shell Oil для оценки возможностей разведки, разработки и переработки нефти в определенной стране, и его последующие варианты (напр., модели, разработанные Risk Insights, Inc.), включает формальную спецификацию рассматриваемых отношений, экспертные мнения, обработанные методом лимитирования сужденческих ошибок, сложный статистический алгоритм, комбинирующий результаты агрегированных эконометрических данных и индивидуальных оценок. Главным ограничением метода является его дороговизна.
Для оценки личностного фактора при анализе политического риска М.О'Лири и В.Коплиным была разработана модель под названием Prince model. Анализируя твердость позитивной, нейтральной или негативной позиции конкретного лица, степень его влияния и значение для него данного вопроса (каждый критерий оценивается по пятибалльной шкале, затем перемножается и суммируется по всем участникам), модель позволяет количественно (долей положительных баллов в общем количестве) рассчитать вероятность принятия того или иного решения правительством.
Б.Ливи разработал аналитическую сеть, интегрирующую социально-культурные переменные наряду со всеми неэкономическими факторами в количественный структурированный подход к оценке странового риска.
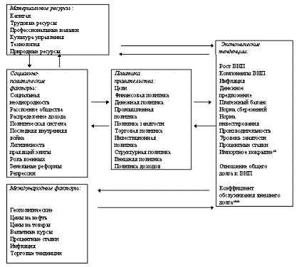
Общую схему взаимодействия политических, социальных и экономических факторов, определяющих уровень риска в стране представил Ч.Кеннеди в работе "Управление политическим риском".

*Коэффициент обеспечения импорта страны валютными резервами.
**Отношение годовых платежей к экспорту страны
Под социальной неоднородностью понимается количество и численность различных этнических, племенных, религиозных и региональных групп. Расслоение общества происходит в том случае, когда указанные выше группы совпадают в значительной степени с нижним, или беднейшим классом, что резко усиливает политическую нестабильность. Распределение дохода показывает степень неравенства экономических групп в обществе. Чем выше это неравенство, тем выше вероятность политической нестабильности.
Кеннеди выделяет четыре основных типа политических систем: 1) авторитарно-традиционная (монархия или военная диктатура); 2) авторитарно-мобилизационная (тоталитаризм); 3) либерально-демократическая (парламентская или президентская); 4) новая независимая (бывшие колонии). Наиболее стабильными он считает вторую и третью системы, относительно стабильной - первую, наименее стабильной - четвертую. Как крайне нестабильная рассматривается политическая система в случае, когда военные имеют возможность и желание изменить правительство.
Наличие в недавнем прошлом страны гражданской войны, революции, военных переворотов, включаемых в показатель "последняя внутренняя война", считается прецедентом для возможного решения будущих конфликтов. Легитимность правящей элиты означает соблюдение большей частью населения правительственных распоряжений. Появление противоположных тенденций, а также высокая степень государственного насилия над гражданами (репрессии) усиливают вероятность политической нестабильности. Прогрессивные программы земельных реформ необходимы для устойчивого перехода от преимущественно аграрного к индустриальному обществу.
Множество подходов, описанных выше, высвечивает сложность и многомерность проблемы анализа и оценки политического риска. Все рассмотренные модели имеют определенные преимущества и недостатки. Экспертные системы критикуются за то, что в них не всегда четко прослеживаются причинные отношения. Эконометрические модели часто страдают сложностью обеспечения текущими источниками данных большинства независимых переменных, необходимых для анализа. Встроенные модели могут быть дороги, продолжительны во времени и географически ограничены. Из этого следует, что оптимальный подход должен сочетать лучшие стороны каждого из методов и давать возможность измерять макро-риски и интерпретировать их применительно к проектно-специфическим условиям.

Источник: De la Torre, J., Neckar D., Forecasting political risks for international operations, International Journal of Forecasting, 1988, 4, p.230
В заключении следует отметить, что анализ политического риска в России имеет некоторую специфику. Во-первых, политическая традиция, несовершенство демократических институтов и переломный момент исторического развития обусловили значительную роль личностного фактора, которому необходимо уделять дополнительное внимание при оценке политического риска. Во-вторых, существенным фактором неопределенности является наличие множества разнотипных политико-территориальных образований, обладающих различным экономическим потенциалом, разнородных по национальному составу и опирающихся на разные исторические, политические, культурные и религиозные традиции. Региональные конфликты оказывают как прямое воздействие на общую политическую обстановку, так и косвенное влияние на ситуацию в других регионах, поскольку решение региональных проблем требует дополнительных субсидий, что ведет к росту дефицита федерального бюджета, изменениям в налоговом законодательстве, сокращению социальных расходов (а, следовательно, возрастанию социальной напряженности), увеличению размера государственного долга, колебаниям процентных ставок и валютного курса, т.е., ухудшению политического и инвестиционного климата в стране. Недостаточный учет региональной специфики, пожалуй, является основным недостатком существующих зарубежных методик при их экстраполяции на Россию. Для адекватного анализа политического риска необходимо проведение подробных исследований отдельных регионов (или групп регионов), учет относительного "веса" каждого региона (группы), включение региональных индикаторов в общую схему оценки странового риска.
Автор - Подколзина Инна Александровна, кандидат экономических наук, Научный сотрудник ИМЭМО РАН, Центр европейских исследований

