О поиске решения для задачи подбора исторического курса при переводе финансовой отчетности в иностранной валюте
|
| Андрей Гершун |
| Продолжение. |
| Часть четвертая. Решение Б3: метод пропорций (для средневзвешенной цены) | Задача В: пересчет незавершенного производства и готовой продукции | Решение B1: пропорциональный способ | Решение В2: способ оборачиваемости пула |
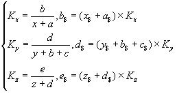
| Решение B1: пропорциональный способ Идея использования пропорционального способа заключается в том, что для отражения счетов сырья, незаврешенного производства и готовой продукции будут использоваться пропорции, точно так же, как мы их использовали для счета запасов. В этом случае нам потребуется целый набор коэффициентов K, каждый из которых нам придется вычислять последовательно один за другим:
Теперь у нас есть вся информация для вычисления нужных величин. Давайте рассмотрим небольшой пример перевода производственных счетов. Предположим, что на начало 20х1 года наша компания была только что зарегистрирована, и, следовательно, имела нулевые остатки по всем счетам. Далее были зарегистрированы следующие хозяйственные операции:
Курсы валют на даты операций составляли (это лишь пример):
Теперь давайте пересчитывать в доллары:
Теперь давайте запишем эти же проводки в виде таблицы и Т-счетов:
|
| <<предыдущая | [1][2][3][4] | следующая>> |
| [вид для печати] | ||
| © МАГ КОНСАЛТИНГ | ||




